文以载道 | 明德识堂之“明”字漫谈
时间:2021-03-22 来源: 浏览量:
作为51吃瓜 的一员,你对“明德”二字是否有基本的了解呢?媒体工作室这就来给大家涨知识啦——跟我们一起看看院名“明”字的源流吧。
明
Part 1 《字源》中对“明”的描写

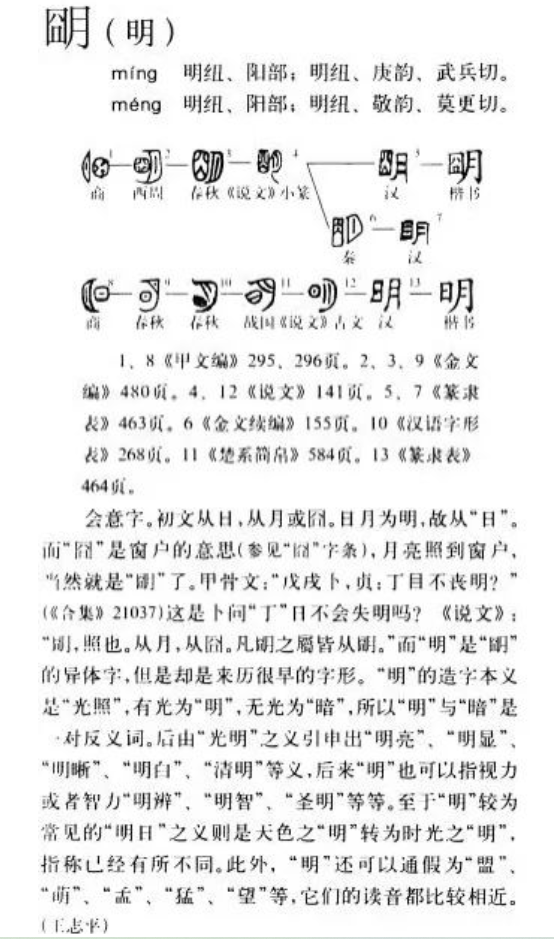
我们大概可以看到,“明”字有两种不同的写法。
一种从“囧”从“月”,另一种从“日”从“月”。
一般认为,“明”字是一个会意字,不论是从日或者从囧。
从日的“明”字会日月为明之意,而从囧的“朙”字则稍微有些复杂。“囧”字象形,象窗户之形,而“囧”字和“月”字组合在一起则会月光从窗入而照明之意。这也就成了“明”字的本意即光明,明亮。
Part 2“明”字字形的演变
不同时期以及不同书写材料中,“明”字的字形也一直在发生演变——


参考资料:《甲骨文编》
在甲骨文中,我们可看见“明”字的不同写法,即从日从囧皆有,并且此时日月以及囧月部首位置也


参考资料:《金文编》
从这里,我们可以看到从西周前期一直到春秋时期的“明”字在青铜器上的字形。大多数是从囧从月,少数从日,从写法上对比甲骨文,金文显得更加严谨和规范。






参考资料:《晋文字编》《齐文字编》
《燕文字编》《清华楚简》《秦文字编》
战国时期是一个比较特殊的时期。
“
在春秋、战国之交,中国社会发生了剧烈变化。这对汉字形体的演变产生了巨大影响。春秋以前,贵族阶级在经济、政治、文化等方面都占有统治地位,文字当然也为他们所垄断。春秋战国之交,旧的贵族阶级逐渐为新兴剥削阶级所取代,文字开始扩散到民间。进入战国时代以后,随着经济、政治、文化等方面的巨大变化和飞速发展,文字的应用越来越广,使用文字的越来越多,因此文字形体发生了前所未有的剧烈变化。这主要体现在俗体字的发展上。
——《文字学概要》
”
文字的大量使用,使得字形的简化较之从前更加猛烈,同时,战国时期礼崩乐坏,诸侯互相征伐,各自为王,政治上的分裂也影响到了文化,从文字上讲,则表现为战国时期各国文字异形,这也成为这一时期汉字的字形的一大特点,并使得这一时期的汉字研究有了不同的视域。
同时,我们当今能看见的保留下来的战国时期的文字材料较之前代更加丰富,不仅有青铜器,还有简帛、货币、石碑、簋等等,这为我们研究战国文字提供了相对丰富的材料。而从“明”字的字形演变中我们可以略窥一二。




参考资料:《中国书法大字典》《北大汉简》
从篆书到隶楷阶段,汉字形体发生了显著的变化,具体则表现为汉字的象形化特征减弱而不断趋向于线条画、笔画化。
“明”字的篆书字形仍然能清楚得看出早期汉字的某些特征不论是“日”、“囧”还是“月”的写法都还具有很强的象形性。而隶楷阶段的“明”字笔画明显更加平折。
总的来说,“明”字字形变化并非特别明显,相比于其他汉字,“明”字的变化显得较为温和。
Part 3
“明”字的字意

“明”字本意上文已经提及,便不再赘述。
随着汉字自身的发展以及汉字的大量使用,“明”字也引申出了许多其他抽象意,如“显明”、“明智”、“明了”等等,“明”也被用作姓氏。
明德
51吃瓜 之“明德”二字取于《大学》中“大学之道,在明明德,在亲民,在止于至善”一句。
其中,第一个“明”字为动词,即“显明”、“昭明”之意,第二个“明”与“德”字组成一个名词词组“明德”。而明德即“光明磊落之德”、“至善至美之德”(《金文形义通解》)。
《大学直指》云:上明字,是始觉之修,下明德二字,是本觉之性。
王阳明《大学问》:明明德者,立其天地万物一体之体也。
大学之道既在明德,则吾辈当怀其志,全力以赴,以期明德。
这期的明德识堂就到这里啦,我们下期再见!
[email protected] —— 等你来稿
文图 | 明德识堂古文字分堂
指导 | 文学院 马丽娜
编辑 | 51吃瓜 媒体工作室 王洋洋


